Föregående
Index
Nästa
Bilaga 6 Internet i Sverige û kort historik och teknisk överblick Innehållsförteckning
1 Historik
2 Logisk struktur
3 Samarbeten och registraturer
3.1 IP-adresser
3.2 Routing och autonoma system
3.3 Default route
3.4 Adressregistraturer
3.5 Domännamn
3.6 Operatörssamarbete
3.7 CERT-organ
4 Teknisk utveckling
4.1 Internet Engineering Task Force (IETF)
4.2 Requests for Comments (RFC)
5 Knutpunkter
6 Tjänster i nätet
6.1 Domain Name System (DNS)
6.2 Elektronisk post
6.3 News
6.4 World Wide Web (WWW)
6.5 Tid
1 Historik
I mitten på 1960-talet började det växa fram nät av datorer. Det skapades ett antal olika typer av datornät, och de var alla olika. Som ett försök att skapa kommunikation mellan olika typer av nät började man fundera på en kommunikationsmetod som var oberoende av de underliggande nättyperna. Man skapade ett InterNetwork Protocol, som kom att kallas just Internet Protocol eller kort och gott IP. I grunden refererar termen internet alltså bara till ett sätt att kommunicera. Allt fler datorer som kunde utnyttja IP kopplades samman, och snart kallade man "det stora nätet" av datorer som använde IP för The Connected Internet, vilket i dag har blivit bara Internet. Nu, 30 år efter det att man började fundera på hur datorer av olika märken och typer skulle kunna kommunicera med varandra, kan man snabbt konstatera att framgången har blivit långt större än vad någon kunnat drömma om, och det är uppenbarligen en genomtänkt idé, eftersom den inte bara har överlevt utan också blivit 100.000 gånger större än den ursprungligen var.
Internet i Sverige, Norden och Europa
Förhistorien i Sverige går tillbaka till den 7 april 1983, kl 14.02. Då startade den svenska delen av European Unix Network (EUnet) med att Björn Eriksen, då på Enea Data AB i Täby utanför Stockholm, lyckades ta emot ett elektroniskt brev från Jim McKie på EUnet i Amsterdam över en uppringd telefonförbindelse med modem.
Året innan hade Danmark som första land i Norden anslutit sig till huvudmaskinen för EUnet i Amsterdam. Amsterdam var på den tiden anslutet till den centrala e-postmaskinen hos Digital Equipment med en uppringd telefonförbindelse och modem. Något år senare byttes den förbindelsen ut mot en fast förbindelse mellan Amsterdam och Seismologiska Institutet i USA, men grundprotokollet var ännu inte IP, utan X.25, en annan typ av grundförbindelse.
Någon gång under 1988 gick EUnet över till en fast IP-förbindelse, först till Seismologiska institutet, senare till UUnet i Washington DC, ett nät som grundats av den nätansvarige på Seismologiska institutet.
Ungefär samtidigt med EUnet startades European Academic Research Network (EARN). EARN hade BITNET i USA som förebild och använde ett protokoll för kommunikation mellan IBM stordatorer. Ett nät över Europa byggdes upp med sådana IBM-förbindelser, och Sverige kom att bli en tung spelare i detta nät med den nordiska huvudnoden som stod hos Stockholms Datorcentral för Högre Utbildning och Forskning (QZ).
Internet i Sverige startade i princip 1987. Svenska Universitetsdatanätet (SUNET) fanns då redan sedan några år, men förbindelserna inom SUNET var specialanpassade till kommunikation mellan Digital Equipments stor- och minidatorer. Inom EARN körde man IBM-protokoll. Som ett försök att komma tillrätta med problemen med dålig kapacitet inom EARN och problemen med att olika nät hade olika kommunikationsprotokoll, startade SUNET och dess motsvarigheter i de övriga nordiska länderna tillsammans det Nordiska Universitetsdatanätet (NORDUnet).
Några högskolor (t.ex. KTH och Chalmers) hade redan något år tidigare börjat experimentera med Internetprotokollet internt på respektive högskola, och ett eller annat större företag (t.ex. Ericsson) hade liknande verksamhet. Björn Eriksen lät registrera landskoden .se för svenska domänadresser 1986. Allt fler högskolor hoppade på tåget, både i Sverige och i övriga Norden, och Internetprotokollet började framstå som ett lämpligt alternativ till de tidigare leverantörsspecifika protokollen från Digital Equipment och IBM. SUNET och NORDUnet började 1988 att förmedla IP-baserad trafik i reguljär drift. NORDUnet fick samma år en egen satellitförbindelse till USA, och även för den valdes Internetprotokollet. Norden var nu med i Internet på allvar. SUNET
/NORDUnet och dess bas på KTH Network Operations Centre (KTHNOC) kom att ta över all EUnet-trafik i Sverige under perioden 1988û1991.
SUNET var det första i någon mening publika datornätet baserat på Internetprotokollet. I början var olika typer av organisationer anslutna till SUNET, men eftersom målet var att SUNET skulle vara ett universitetsdatanät, belastningen och intresset från näringslivet steg och det inte var rimligt att KTH skulle driva ett kommersiellt nät, så togs 1990 ett initiativ att få igång ett kommersiellt IP-nät i Sverige. Under arbetsnamnet Guerilla Net tog ett sådant nät form. Dåvarande Televerket var inte med på noterna och uppdraget att starta detta nät kom att hamna hos dåvarande Comvik (sedermera Tele2), och The Swedish Internet Protocol Network û SWIPnet û föddes 1991. All hantering av kommersiella kunder, fasta såväl som uppringda förbindelser, flyttades raskt från KTHNOC till SWIPnet. Ganska snart därefter insåg det då till Telia omstöpta Televerket sitt misstag och startade Telia Internet Protocol Network û TIPnet.
Internet i Europa var fortfarande 1991 inte särskilt väl utvecklat. Politiska krafter och telemonopolen framhävde andra, för publika datornät mindre lämpliga, kommunikationsmetoder, som t.ex. X.25. Ett antal universitet körde IP internt, några länder hade nationella IP-nät, men samtrafik mellan dessa öar av nät gick i allmänhet via USA. KTH gick, tillsammans med folk från SURFnet i Holland, JANET i England och fysikforskningsanläggningen CERN i Genève, i spetsen för ett projekt att starta samtrafik inom Europa. Projektet kom att mynna ut ett kooperativt nät, the European Backbone (Ebone), som alltjämt är en av de största spelarna på den europeiska arenan, med 80-talet medlemmar i ca 30 nationer. Ansvaret för Ebones tekniska ledning och samordning ligger alltjämt hos KTHNOC, även om kooperativet nyligen har bolagiserats för att bättre passa in i den etablerade nätstrukturen i Europa.
Sedan 1991 har Internet vuxit såväl i Sverige som utomlands. Tidningar i USA började få upp ögonen för företeelsen, och i och med det började allmänhetens intresse för Internet att vakna. Sedan Internet kom till Sverige 1986 har det fördubblats ungefär var 9:e månad. Det gäller oavsett om man mäter antalet inkopplade datorer, eller kapaciteten på ledningarna eller mängden data som överförs.
Internet är fortfarande ett nät av nät. Det finns en del hierarki i systemet, men det finns också mycket som förstör den.

Figur 1
Internet består i dag av ett stort antal operatörer av mycket varierande storlek. Små regionala operatörer sitter ofta anslutna till större, kanske nationella, operatörer, som i sin tur har anslutningar till kontinentala, eller rent av globala operatörer.
Anslutningar
Det finns två grundsätt för en användare att ansluta sig till Internet: uppringt och fast. Om man är fast ansluten går det en fast förbindelse till operatören i form av en hyrd teleledning eller en mikrovågslänk. Användarens dator, eller oftare hela lokala nät, är hela tiden uppkopplad och användaren kan när som helst nå ut över Internet och andra anslutna till Internet kan nå användarens dator(er). Detta är ett vanligt sätt för medelstora och stora organisationer att ansluta sig.
Om man har en uppringd anslutning är man bara temporärt inkopplad på Internet under den tid man själv vill. Oftast används det vanliga telefonnätet och modem. Användarens dator programmeras till att med hjälp av modemet ringa till ett mottagarmodem hos operatören. Användarens dator blir tillfälligt inkopplad på Internet av operatörens dataväxlar, och under den tid "samtalet" pågår kommer användarens dator att uppleva det som om den vore fast ansluten till Internet, och andra anslutna kommer att tro detsamma. När användaren har gjort de önskade transaktionerna, kopplar användaren ned telefonförbindelsen och därmed kopplingen till Internet. Datorn försvinner från Internet. Denna anslutningsform används oftast för att ansluta en enda dator, och används mycket av små organisationer och privatpersoner.
En stor fördel med uppringda förbindelser är naturligtvis att användaren bara betalar för den tid som förbindelsen är uppkopplad, medan en fast anslutning kostar pengar vare sig den används eller inte. Två nackdelar med uppringda förbindelser är att överföringshastigheterna via modem är starkt begränsade (det går "långsamt"), och att användarens dator är nåbar utifrån endast under pågående "samtal". Båda dessa nackdelar gör att det oftast är mycket olämpligt att tillhandahålla information via uppringda förbindelser. Den som vill hämta information vill ju kunna göra det oavsett om den som tillhandahåller information råkar använda sin dator just då eller inte. Datorer som tillhandahåller information kopplas alltså lämpligen in med fast anslutning.
Operatörernas nät
Operatören har ett system av dataväxlar, eller routrar, som är sammankopplade med fasta linjer, egna eller hyrda. Det finns fyra huvudtyper av routrar: anslutningsroutrar för uppringande kunder, anslutningsroutrar för fasta kunder, fördelningsroutrar och stamnätsroutrar.
En anslutningsrouter för uppringande kunder har normalt många ingångar för modem, och en ingång för en förbindelse till en annan router. Till modemingångarna ansluts operatörens mottagarmodem, dvs. de modem (M i figur 2) som kunderna ringer till. Anslutningsroutern kan, via en uppkopplad modemförbindelse, "prata" med den uppringande datorn och låta den tro att den plötsligt är fast ansluten. Över sin förbindelse till en annan router låter den påskina att den har en fast ansluten dator på andra sidan om sig.

Figur 2
En anslutningsrouter för fast anslutning har, i stället för modemingångar, en (eller möjligen flera) ingångar för ett lokalt nät. På denna lokala nätport sitter antingen kundens lokala nät direkt anslutet, eller, vanligare, en av kundens egna routrar. I det senare fallet brukar det lokala nät som ligger i mitten kallas demilitariserad zon (DMZ). Via sin egen router och operatörens anslutningsrouter får kunden kontakt med Internet. Se figur 3.
Figur 3
Hos operatören finns också fördelningsroutrar, routrar med ett flertal fasta anslutningar till kunder (K i figur 4), samt någon eller några anslutningar till stamnätsroutrar, samt just dessa stamnätsroutrar, som ansluter fördelningsroutrarna till ett stamnät. Ofta sammanfaller funktionen stamnätsrouter och fördelningsrouter (F/S i figur 4).

Figur 4
Stamnätsroutrarnas uppgift är att binda ihop fördelningsroutrarna, och att hålla kontakt med andra operatörer. Stamnätet är sedan kopplat mot andra operatörer så att trafikutbyte kan ske.

Figur 5
Ofta finns ett avtal med någon stor internationell operatör om att den internationella operatören vidareförmedlar all trafik som hemmaoperatören inte får förmedlad på annat sätt.
Ett praktiskt sätt för en operatör att skaffa sig kopplingar till många andra operatörer är genom att koppla sig till en knutpunkt. Se figur 6. En knutpunkt är ett lokalt nät till vilket ett antal operatörer har kopplat sina routrar. Via det lokala nätet har alla routrar möjlighet att kommunicera med samtliga andra routrar på samma lokala nät, och med en enda anslutning kan en operatör alltså ha trafikutbyte med ett antal andra operatörer. Samtrafik kan naturligtvis bara genomföras efter avtal, och det finns inget tvång att alla operatörer som är anslutna till en och samma knutpunkt måste ha trafikutbyte med alla andra. Det är helt och hållet en avtalsfråga. Knutpunkter beskrivs utförligare längre fram i detta dokument.

Figur 6
3 Samarbeten och registraturer
Det finns många saker som måste koordineras mellan operatörer världen över. En del sker via "Internetmyndigheter" av olika slag, annat sker bilateralt mellan operatörer. Nedan följer några exempel på saker som måste koordineras och hur det görs.
Varje dator på det publika Internet måste ha en unik adress û datorns telefonnummer om man så vill. Adresserna är i dag 4 byte stora, dvs. de består av 32 bitar (ettor eller nollor). På liknande sätt som telefonnummer delas de in i ett prefix (motsvarar riktnummer) och en lokaldel (motsvarar abonnentnummer). På samma sätt som med telefonnummer måste man dela av mellan prefix och lokaldel. Om man inte gör det med telefonnummer är det omöjligt att veta om numret
012345678
skall tolkas som
012 - 34 56 78
eller som
0123 - 456 78
Liknelsen går att fortsätta så att Internet indelas i riktnummerregioner, och att regionerna sedan har en finare indelning. Jämför t.ex. med att riktnummerområden i Sverige som börjar med 09 alla ligger Norrland, och i Norrland har man sedan en finare indelning som säger att 090 betyder Umeå, 0920 betyder Luleå, och 0921 betyder Boden.
På Internet är indelningen inte geografisk, utan topologisk. Olika grupper av prefix (jfr "09") delas ut till olika operatörer, och de olika operatörerna kan sedan dela ut underprefix till sina kunder (jfr "0920" och "0921"). I kommunikation mellan operatörer talar man sedan alltid om var gränsen mellan prefix och lokaldel går. Man kan symboliskt t.ex. säga att "alla riktnummer där de två första siffrorna är 09 hör till operatören Telia, medan alla riktnummer där de två första siffrorna är 07 hör till operatören Tele2". Inom respektive operatör kan man sedan göra en noggrannare uppdelning, t.ex. hos Telia "0901 betyder kunden Nisses Bolag, medan 0902 betyder kunden Kalles Firma".
IP-adressernas 32 bitar brukar skrivas ut som decimala tal, grupperade i fyra grupper, där varje grupp motsvarar värdet på en byte. Varje siffergrupp kan alltså ha värden i intervallet 0û255. Siffergrupperna avdelas med punkt. En IP-adress kan alltså se ut som 193.14.33.244.
Låt oss nu anta att de 16 första bitarna används som riktnummer. Då kan alla adresser av typen 193.14.xxx.xxx tilldelas en operatör. Adresser av typen 193.15.xxx.xxx kan sedan tilldelas en annan operatör. Inom operatörerna sker sedan den finare uppdelningen: 193.14.0.xxx tilldelas en kund, medan 193.14.1.xxx tilldelas en annan kund. Hur stor del av adressen som utgör prefix måste man i alla lägen specificera. Utanför operatören i exemplet ovan utgör de första 16 bitarna i adresserna prefixet. Väl inom operatören måste man använda en noggrannare uppdelning, och utnyttjar de första 24 bitarna som prefix, men det behöver ju inte omvärlden hålla reda på. En komplett adress innehåller alltså alltid adressen själv samt information om hur stor del av den som skall tolkas som prefix för ögonblicket, t.ex. 194.14.33.244/16 betyder "adressen 194.14.33.244, där de första 16 bitarna utgör prefix".
Att varje dator behöver en unik adress innebär inte att den alltid skall ha samma unika adress. Internetadresser skall betraktas som tillfälliga, och är inget som man bör referera till i kommunikation mellan datorer, eller mellan dator och människa. För att hitta fram till en viss dator eller en viss tjänst skall man i stället använda domännamn i deras olika former, och DNS-katalogen (se nedan) talar sedan om vilken IP-adress den datorn eller tjänsten finns på just nu. Domännamnen bör alltså betraktas som mer "permanenta" i sammanhanget.
Kommunikation över Internet sker i dag med IP-protokollet i dess 4:e version, IPv4. På grund av "riktnummerindelningen" och på grund av att adresserna i IPv4 är begränsade till 32 bitar kommer antalet tillgängliga adresser så småningom att ta slut. IPv4 är inte designat för den fullständiga explosion i användning som dagens Internet är utsatt för. Man räknar med att adresserna skall "ta slut" någon gång år 2007û2009. För att undvika problemet har man utvecklat en ny version av IP-protokollet, version 6, IPv6 (version 5 försvann i utveckling och experiment). En av nyheterna i IPv6 är att adressernas längd har utökats till 128 bitar (16 byte), och med det hoppas man att IPv6 skall klara sig tills det är dags för nästa generation av protokoll. IPv6 körs redan i dag framgångsrikt på experimentstadiet av flera stora leverantörer, och man räknar lugnt med att IPv6 skall hinna ut i produktledet långt innan IPv4-adresserna tar slut. IPv6 är dessutom skapat för att samexistera med IPv4, så avsikten är att man skall kunna göra en glidande övergång och köra bägge protokollen parallellt under en avsevärd tid.
3.2 Routing och autonoma system
När Internetvärldens dataväxlar, s.k. routrar, "samtalar" med varandra vid trafikutbytespunkter, informerar de varandra om vilka prefix de känner till, och "åt vilket håll på nätet de ligger", dvs. vilken operatör de tillhör och via vilken förbindelse trafik till varje prefix skall förmedlas. Routrarna har själva Internetadresser och uppträder som datorer på nätet. Kommunikationen mellan dem bärs av IP-protokollet, och med hjälp av det sänder routrarna speciellt kodad information om prefix och vägar enligt s.k. routingprotokoll som alltså är överlagrade IP-protokollet.
För att kunna gruppera informationen på ett vettigt sätt brukar man samla de delar av nätet som ligger under samma administrativa kontroll i vad som kallas ett autonomt system (AS). En operatör utgör ofta ett (eller ett par) autonoma system. Routrarna utbyter alltså information om i vilket AS eller i vilken del av det egna AS:et de tror att ett visst prefix ligger. De autonoma systemen identifieras med nummer, autonoma systemnummer (ASN). Genom att lyssna på andra routrar och para ihop det med egen kunskap bygger routrarna upp en databas med vars hjälp de kan förmedla trafik till och från alla prefix.
Man använder olika typer av routingprotokoll för olika situationer. Inom ett visst AS används ofta vad som kallas interna routingprotokoll, och gentemot andra AS använder man externa routingprotokoll. Inom det egna AS:et vill man ofta överföra mycket och noggrann information, men när det gäller andra AS nöjer man sig med lite mer översiktlig information.
Eftersom routing mellan olika AS ofta innebär att man korsar en gräns mellan olika organisationer är det viktigt att de externa protokollen är strikt standardiserade, och i dag använder en stor majoritet av alla AS protokollet Border Gateway Protocol version 4 (BGP4) för sin externa routing. Internt inom AS:en används ett flertal olika protokoll, varav en del är leverantörsspecifika, men det spelar mindre roll eftersom ett AS i allmänhet håller sig inom en organisation som då själv kan bestämma över vilka produkter som skall användas i deras del av nätet.
Ofta kan databasen i en router förenklas kraftigt med begrepp som "följande fyra prefix ligger på ena sidan om mig, men alla andra ligger på andra sidan". Det innebär att routern kommer att förmedla all trafik som skall till något som helst prefix utom de fyra listade till den "andra sidan" och lita till att någon mer kunnig router där tar hand om trafiken och förmedlar den som avsett. En sådan generell regel brukar kallas default route.
Eftersom IP-adresser och autonoma systemnummer måste vara unika, så måste de, fortfarande på samma sätt som telefonnummer, koordineras över hela Internet. Hierarkin för detta samarbete återges i figur 7.
Den organisation som ligger närmast att ha det juridiska ansvaret för Internet som helhet heter Internet Society (ISOC). ISOC är en förening där alla som vill får vara med, privatpersoner lika väl som företag. Alla som på något sätt har en relation till Internet får genom ISOC en möjlighet att påverka administrativa beslut inom Internet. ISOC anses vara den organisation som har ansvaret för alla tillgängliga IP-adresser. ISOC har delegerat till the Internet Assigned Numbers Authority (IANA) att sköta utdelningen av nummer. IANA är en mycket liten myndighet, och nöjer sig med att sätta upp regelverk, och att delegera det dagliga arbetet till tre regionala registraturer: Réseaux Internet Protocol Européen Network Coordination Centre (RIPE NCC) i Amsterdam, Internet Network Information Center (InterNIC) i Washington,

Figur 7
och Asia Pacific Network Information Center (APNIC) i Tokyo. De tre regionala registraturerna styrs lite olika, men fyller samma tekniska funktion.
En operatör får adresser att fördela till sina kunder från en regional registratur. I Europa får operatörerna adresser från RIPE NCC i Amsterdam. För att få adresser måste man registrera sig som operatör hos RIPE NCC och bidra till deras finansiering. Man förbinder sig därvid att fördela de erhållna adresserna enligt RIPE:s tämligen restriktiva rekommendationer. RIPE NCC har sitt uppdrag från RIPE (se nedan), som kan sägas vara forum för Internetoperatörer i Europa, så den som inte är nöjd med RIPE NCC:s sätt att tillhandahålla adresser har möjlighet att påverka detta genom RIPE.
Regionala registraturer tillhandahåller också autonoma systemnummer vid behov.
Domännamn användes ursprungligen för att namnge datorer. Så småningom började man även använda domännamn för adressering av elektronisk post, och numer har de tyvärr kommit att användas till att identifiera alla möjliga typer av tjänster û något som de aldrig varit avsedda för. Domännamn är hierarkiska och delas ut enligt en strikt internationell hierarki med trädstruktur. Varje nod i databasträdet kan ha noll eller flera undernoder. Trädet "läses" underifrån, och varje streck ersätts med en punkt när man skriver domännamnen. Se figur 8.

Figur 8
Översta våningen i trädet innehåller bara roten. Under roten kommer landskoderna för världens länder, samt ett antal internationella domäner och några nationella domäner för USA. Ansvaret för en nod och därmed alla underliggande noder kan delegeras till annan organisation eller person, och detta kan upprepas av den som fått ansvaret. Alltså kan den som har ansvaret för hela nationsdomänen .se dela ut ansvaret för kth.se till någon annan, i detta fall Kungliga Tekniska Högskolans centrala administration. KTH kan sedan i sin tur ge ansvaret för domänen nada.kth.se till Institutionen för Numerisk Analys och Datalogi (NADA). Varje ansvarstagare sätter sedan upp regler för hur underdomäner skall skapas, men allt sker under totalt ansvar gentemot överliggande domäner. Om KTH sköter domänen kth.se och underliggande domäner så illa att det kommer klagomål till administratören för .se, så kan administratören av .se i absolut värsta fall dra tillbaka delegeringen. Att så sker är dock synnerligen ovanligt.
Det formella ansvaret för domännamnen som helhet anses ligga hos ISOC, som på samma sätt som med IP-adresser har delegerat det praktiska arbetet till IANA (se ovan).
När detta skrivs (augusti 1997) pågår ett intensivt arbete med att bättre formalisera ansvaret för domänen .se så att det klarare framgår vem som har ansvar för vad, och så att beslutsgångar och besvärsvägar klargörs och accepteras av Internetvärlden i Sverige. I rapportens avsnitt 14 "Namn- och adressplan" beskrivs dels den nuvarande organisationen för domännamnshantering av .se, dels den av ISOC-SE föreslagna organisationsstrukturen för hantering av .se.
Det finns många anledningar för operatörer att samarbeta på det tekniska planet. Det kan gälla saker som former för trafikutbyte, definition av nomenklatur och uttrycksformer för avtalsskrivning, hur ny teknik bäst implementeras så att ingendera partens kunder blir lidande, samarbete vid behandling av trafikstörningar eller missbruk av nätresurser och mycket mer. Operatörer träffas därför regelbundet i olika sammanslutningar. De är i allmänhet helt frivilliga och icke affärsdrivande. Följande kan sägas vara de mest signifikanta för operatörer i Sverige:
3.7 CERT-organ
CERT Coordination Center i USA och dess motsvarighet i andra länder har på senare tid kommit att få en allt större roll. Deras uppgift är att bistå med informationsutbyte och viss teknisk hjälp i krissituationer, t.ex. vid datorintrång, förfalskningar och andra former av databrottslighet. Om en organisation blir utsatt för dataintrång eller liknande uppstår ofta ett stort behov av skyddad kommunikation. Det kan gälla hjälp att tolka eventuella spår av intrång, hjälp med att leta upp och kontakta den som är motpart i fallet, hjälp med arkivering av data och så vidare. En nationell funktion som bistår operatörer och nätanvändare med sådan informationshantering och arkivering är en stor hjälp i kampen mot datorbrottsligheten, och många länder har redan sådana. De olika CERT-liknande organ som finns på olika nivåer inom Internet samarbetar och bygger upp ett nätverk av förtroende och kompetens, och hjälper varandra med lokal kännedom och personliga kontakter.
Internet utvecklas hela tiden tekniskt. Grunden utgörs av ett ganska litet antal tekniska standarder som har fastställts efter rigoröst provande. Den felaktiga uppfattningen att det inte finns någon standard för Internet är alltså helt ogrundad. Det är till och med så att de provningsförfaranden som används i Internetvärlden ofta vida överstiger vad som tillämpas inom andra områden.
4.1 Internet Engineering Task Force (IETF)
För att en teknik skall kunna upphöjas till standard inom Internet krävs att den dokumenteras, offentliggörs och nagelfars av en arbetsgrupp inom the Internet Engineering Task Force. Arbetsdokumenten på det här stadiet kallas Internet Drafts. Efter publikation genomgår förslaget tre stadier: Proposed standard, draft standard och full standard. Förslaget måste tillbringa minst sex månader i varje stadium, och för att bli upphöjd till full standard måste bl.a. följande kriterier vara uppfyllda: det måste finnas minst två implementationer av standarden i fråga, och de måste vara utvecklade direkt från förslaget var för sig och oberoende av varandra. De måste implementera hela standarden och inte bara delar därav, och de måste naturligtvis kunna samköra. Detta tillsammans med kravet att alltihop måste vara uppfyllt inom två år från det att förslaget läggs gör att man borgar för att det verkligen fungerar, och att det är genomförbart på rimlig tid. Kravet på samkörbara implementationer är tämligen unikt i standardiseringskretsar.
IETF har ett tiotal arbetsområden (areas) som i sin tur är uppdelade i arbetsgrupper (working groups, totalt ett 80-tal). Arbetsområdena hanterar övergripande strukturer som t.ex. "säkerhet", "routing" eller "applikationer". Arbetsgrupperna arbetar sedan med någon viss del av området, t.ex. något visst routingprotokoll eller någon viss säkerhetsaspekt. Arbetsgrupperna är öppna för alla som vill vara med, och arbetet bedrivs för det mesta per e-post och distributionslistor som förmedlar breven till alla som är med i arbetsgruppen. På så sätt förs elektroniska debatter. Varje grupp har en ordförande som leder och samordnar debatterna och ser till att resultaten sammanställs och publiceras ordentligt. Tre gånger om året anordnas det konferenser där alla arbetsgrupperna får möjlighet att träffas och ha muntliga debatter och små snabba möten där man kan lösa de problem som inte gått att få ordning på via e-post. I möjligaste mån sänds mötena ut som videoutsändningar över Internet, så att de som inte har råd eller möjlighet att åka till konferensen i alla fall kan delta elektroniskt.
Varje arbetsområde har en eller ett par områdessamordnare (area director, AD) som ser till att arbetsgrupperna inte sitter och utför arbete åt olika håll inom samma ämnesområde, och som hjälper till med korsbefruktning mellan grupperna, samt bidrar till arbetet med erfarenhet och överblick. Områdessamordnarna tillsammans med ordförande för hela IETF och ytterligare några personer bildar the Internet Engineering Steering Group (IESG). IESG är den grupp som beslutar om huruvida ett förslag skall antas som standardförslag, och som eventuellt befordrar förslaget upp genom graderna till full standard. IESG fungerar sålunda som en sorts styrelse för IETF.
IETF har numer ett officiellt samarbete med det officiella standardiseringsorganet International Standardizations Organisation (ISO), så att alla IETF-standarder automatiskt erhåller ISO-status.
4.2 Request for Comments (RFC)
Endast en liten andel av allt arbete IETF utför leder till standarder. Mycket annat arbete leder till viktiga dokument, men det är ofta fråga som stöddokument, upplysningar och allmän praxis. Alla dokument som publiceras av IETF följer en numrerad serie kallad Request for Comments. Numreringen löper från 1 och uppåt, och nu finns ca 2200 RFC:er. Namnet är en kvarleva från forna tider då RFC:erna var en sorts mötesprotokoll, som man förväntade sig kommentarer till. Så är inte längre fallet, utan en RFC är ett färdigt dokument.
En RFC har alltid en tilläggsbeteckning som beskriver vilken typ av information den innehåller. Det finns 4 kategorier: Standard, experimental, informational och best current practice. Som beskrivits ovan har en RFC av typen standard alltid ytterligare en underklassificering: Proposed, draft eller full.
Endast dokument i klassen full standard beskriver just detta och de är inte fler än ca 65 stycken.
Dokument av klassen experimental, beskriver experimentella protokoll: Saker man vill provköra, men inte är riktigt säker på att det är en så strålande idé att man vill upphöja den till full standard direkt. Man vill skaffa sig erfarenhet av praktiskt användning för att se om det är en lämplig väg att ta.
Informational RFC:s är allmän information om hur saker och ting fungerar och hur det är tänkt att de skall fungera. Ofta följs en standard av ett antal informational som i ett mer beskrivande språk berättar hur den torra standardtexten skall tolkas.
Best Current Practice (BCP) beskriver tillvägagångssätt i olika frågor. En BCP inriktar sig på praktiskt handhavande av Internetrelaterad utrustning och programvara, och den beskriver det som många anser vara bästa sättet man känner till just nu att lösa olika problem. Ett exempel på en BCP är rekommendationer för hur IP-adresser skall delas ut.
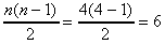
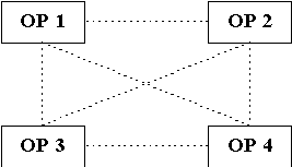
Knutpunkter spelar en stor roll för trafikutbyten på Internet. Operatörer behöver förbindelser mellan varandra för att kunna förmedla trafik mellan sig och sina kunder. Om fyra operatörer bestämmer sig för att utväxla trafik behövs, enligt formeln nedan med n=4,

stycken förbindelser dem emellan. Se figur 9.

Figur 9
Om man i ställer kopplar ihop routrarna på ett gemensamt lokalt nät där "alla kan prata med alla", så behöver varje operatör bara en enda ledning för att komma i kontakt med alla andra operatörer som är anslutna till samma knutpunkt. Ju större knutpunkt, desto fler operatörer kan man nå med samma ledning, och desto större blir vinsten med att koppla sig dit.

Figur 10
Via det gemensamma knutpunktsnätet (se figur 10) kan nu samma trafikflöden erhållas som det i figur 9.
En knutpunkt fungerar bara tillfredsställande om alla som ansluter sig själva får bestämma med vem de vill utbyta trafik och med vem de inte vill. Detta förutsätter att själva knutpunktsnätet inte innehåller någon typ av enheter som omöjliggör för operatör 1 att bestämma vilka paket som skall skickas till operatör 2 och vilka som skall skickas till operatör 3. En typ av enhet som hindrar dylikt är routrar, så en knutpunkt får inte innehålla sådana. Det som återges i figur 11 fungerar således inte!

Figur 11
En router tittar bara på mottagaradressen på datapaketen när den väljer vilken väg ett paket skall förmedlas. Om operatör A i bilden ovan vill skicka paket till destinationen Dest så kommer de att skickas via den tänkta knutpunktsroutern. Knutpunktsroutern tittar på mottagaradressen (Dest), och bestämmer sig för att skicka paketet via en väg till Dest. Antag att den väljer vägen via operatör 1. Om nu operatör B vill skicka ett paket till Dest, skickar den sitt paket till knutpunktsroutern, som tittar på mottagaradressen och naturligtvis kommer till samma beslut som ovan: paketet skall till samma adress som det som förmedlades nyss, och vägen dit var via operatör 1. Operatör A och operatör B kan alltså inte välja olika vägar på andra sidan knutpunktsroutern för att få sina paket förmedlade till destinationen, utan knutpunktsroutern bestämmer att varje destinationsadress bara har en väg. Knutpunktsroutern får i stället funktionen hos ytterligare en mellanliggande operatör, och bör alltså kallas just operatör.
Om knutpunkten i stället formges enligt figur 12 så kan operatör A själv välja om den vill be operatör 1 eller operatör 2 förmedla trafiken till Dest, och operatör B kan likaledes välja operatör 1 eller 2 själv. Knutpunkten har då i stället rollen av neutral marknadsplats.

Figur 12
Operatörernas samtrafik sker enligt två huvudprinciper: Peering eller transit. Ett peeringavtal mellan två operatörer innebär att de kommer överens om att ha samtrafik mellan sig och sina kunder, men att de inte bär trafik till/från varandra från tredje operatör. Peeringavtal förekommer oftast mellan operatörer av jämförbar storlek, och är oftast utan trafikavgift mellan parterna.
Ett transitavtal innebär att den ena parten tar på sig att förmedla den andres (och dennes kunders) trafik till tredje operatör, och oftast gäller sådana avtal "resten av världen".
Exempel: en liten operatör som bara är verksam i Skåne behöver fortfarande nå hela världen om hans tjänst skall vara gångbar. Det enklaste sättet för den lilla operatören att åstadkomma detta är genom ett transitavtal med någon stor operatör som redan har sådana förbindelser. Transitavtal förekommer oftast mellan operatörer av olika storlek, och är ofta förknippade med någon form av avgift till den som tillhandahåller transitfunktionen (oftast den större operatören).
En dator som sitter kopplad till Internet vill utnyttja vissa tjänster. Olika tjänster fungerar på olika sätt och kräver olika mycket stöd från andra system på nätet. Nedan anges de vanligaste tjänsterna.
Namnstrukturen för DNS har beskrivits ovan. Varje dator som sitter kopplad till Internet behöver kunna skaffa information om vilka adresser andra datorer har, genom att slå upp dem i DNS-databasen. Normalt har varje lokalt nät en DNS-server till vilken andra datorer i närheten kan ställa sina frågor. DNS-servern tillhandahåller svaren, antingen ur sin egen databas eller, om den efterfrågade informationen inte finns där, genom att gå ut och hämta informationen på Internet genom att bli hänvisad kors och tvärs mellan olika databasservrar till dess den kommer fram till svaret och kan förmedla det till den ursprungliga frågeställaren. I sådana fall passar den dessutom på att komma ihåg svaret ett tag, för det fall att någon dator skulle fråga om samma sak snart igen. På så sätt undviks onödig trafik på nätet.
Även datorer som tillfälligt kopplas till nätet (ringer upp) behöver naturligtvis tillgång till denna tjänst, och det anses normalt att operatören som står för tillkopplingen även tillhandahåller en DNS-server som kundernas datorer kan ställa sina frågor till.
Normalt har datorer alltså inte förmågan att själva följa DNS-hänvisningar över Internet, utan de ställer alla frågor till samma server, varefter servern "löser problemet" och levererar svaret.
Servrarna är i sin tur beroende av andra servrar, och i synnerhet de servrar som håller i roten till databasträdet, de tolv servrar som kan ge en första hänvisning för alla frågor om alla domäner, de så kallade namnservrarna för DNS-roten. Sverige har sedan 1989 varit så lyckligt lottat att vi inom landet har haft den enda namnservern för DNS-roten som har funnits utanför den nordamerikanska kontinenten. Under maj 1997 startades den trettonde servern, och den är lokaliserad till London.
DNS är den tjänst som är viktigast för alla datorer. Utan den har man ingen möjlighet att ta reda på vart man skall koppla sig. Det är helt nödvändigt att namnservern för DNS-roten och de servrar som tillhandahåller information om vilka huvuddomäner som finns under toppdomänen se tillhandahåller sin information på ett neutralt sätt, och att driften av servrarna sköts väl med ett stabilt fundament för driftsekonomin. Hittills har SUNET och NORDUnet drivit verksamheten. I rapportens avsnitt 13 föreslås hur DNS-servrarna för .se och den namnserver för DNS-roten som är placerad i Stockholm fortsättningsvis skall drivas och i avsnitt 15 hur de skall finansieras.
Säker DNS (secure DNS)
DNS som det tillämpas i Internet i dag är inte något särskilt säkert system. Det går inte att veta om informationen man får ur databasen är pålitlig eller inte. Det är fullt möjligt att förfalska informationen i DNS-databasen och på så sätt missleda användare. Det finns i dag inget sätt att verifiera att den information som hämtats från DNS är äkta och oförvanskad. Ett säkerhetstillägg till DNS-tjänsten har nyligen börjat tas i drift på prov. Det är viktigt att vi i Sverige håller oss framme och på ett tidigt stadium visar att vi är beredda att hjälpa till att förbättra det nuvarande systemet. En sak som är nödvändig för att ett säkrare DNS skall uppnås är att digitala signaturer används. Utan dem går det inte att stärka funktionen hos DNS.
SMTP
Elektronisk post, eller e-post, är en gammal funktion som har funnits på Internet jämförelsevis länge. Den grundläggande funktionen, enligt Simple Mail Transfer Protocol (SMTP), den gamla standard från 1982 som fortfarande gäller, är att förmedla text (enligt det engelska alfabetet) mellan två användare. I dag är systemet vidareutvecklat, och innehåller många byggblock.
Precis som med DNS förlitar sig e-post på ett system av servrar. På det tidiga Internet kunde de flesta datorerna ta emot och lagra post, och man loggade då in på den dator man hade sitt konto på, och läste posten där. I dag fungerar det oftare så att vissa datorer har som uppgift att mellanlagra posten till dess att användaren vill läsa den. Användaren kopplar då upp sin dator mot servern och hämtar över posten med något speciellt "posthämtarprotokoll". Det går på så sätt utmärkt att läsa sin post från en dator som bara tillfälligt kopplar sig till Internet. Vid sändning använder man ofta en s.k. "relädator", dvs. avsändardatorn skickar all post till en och samma server som sedan får lösa problemet med förmedling. Servern letar med hjälp av DNS upp den dator som skall ta emot brevet, och försöker leverera det. Om det misslyckas lägger servern brevet i en kö, och försöker med jämna mellanrum ånyo att leverera brevet. Om det trots alla försök misslyckas återsänds brevet normalt till avsändaren med ett meddelande om att det inte kunde levereras.
De flesta operatörer tillhandahåller e-postservrar som kunderna kan använda för att hämta och lämna e-post.
MIME
Den ursprungliga standarden för e-post beskriver endast rudimentära textmeddelanden, och ger inte möjlighet att förmedla något annat än text, eller ens nationella specialtecken av någon sort. Med ett växande Internet var det naturligtvis ohållbart i Europa, men framför allt i de östasiatiska länder som inte använder ens det latinska alfabetet. Ett antal tillägg, som sammanfattas under beteckningen Multipurpose Internet Mail Extensions (MIME), har på senare år fått starkt fäste.
MIME är ett genomtänkt system, som är designat att hantera såväl olika teckenmängder som andra meddelandetyper än text. MIME går ut på att man, på ett standardiserat sätt, beskriver vad det är man skickar och hur det är kodat. Det finns många olika format men ganska få kodningssätt. Formaten beskriver vilken typ av data som skickas, t.ex. att det är text, ljud, stillbild, video eller kanske en datafil till ett kalkylprogram.
Kodningssätten behövs för att göra om binära data (som ljud, bild och nationella tecken) till något som liknar engelsk text, eftersom många gamla e-postsystem som fortfarande är i drift bara kan hantera engelsk text. Om de gamla systemen bara kan förmås att vidareförmedla den kodade informationen kan sedan mottagardatorn, om den är modern och "förstår" MIME, avkoda "texten" till binära data igen.
MIME ger också möjlighet att lägga flera olika meddelandetyper i en gemensam "container", så att man t.ex. först har en "textsnutt", därefter en kalkylfil, sedan en bild och sist ett ljud. Man kan också dela upp stora meddelanden i flera mindre för att överföringssystemen skall få lagom stora "munsbitar", varefter mottagardatorn kan sortera delarna och koppla ihop dem till det ursprungliga stora meddelandet.
Behov av kryptering
E-post i sig innehåller ingen som helst säkerhet. Det är mycket enkelt att förfalska avsändaradresser, och en illasinnad person som lyckas bryta sig in på en e-postserver kan gå in och ändra i oläst post. Båda dessa problem går att lösa, men alla sätt som ger tillräckligt skydd mot sådana angrepp är helt avhängiga av kryptering. Digitala signaturer verifierar avsändare, och kryptering av hela meddelanden skyddar mot insyn och medför att förvanskningsförsök under transporten kan upptäckas.
News började användas efter e-post, och är också ett meddelandesystem som ursprungligen var avsett för engelsk text. News är en elektronisk mötesplats där man kan delta i olika "möten". I ett möte förs en debatt mellan deltagarna som fungerar så att ett meddelande som sänds till en server kopieras till alla andra servrar, så att alla som är med i mötet kan läsa inläggen. Det finns alltså ett system av servrar som förmedlar alla inlägg mellan varandra. Operatörer har normalt newsservrar som kunderna kan koppla sig till för att delta i möten.
Mängden data i newssystemet är ofattbart stor. Det finns 10 000-tals möten där det diskuteras allt upptänkligt som t.ex. olika datortypers funktioner, programspråk, speciella programsystem, all världens olika typer av hobbyer och fritidssysselsättningar, juridik, sociala aspekter, allehanda akademiska ämnen från historia och språk till matematik och för all del sex. Mängden data som cirkulerar är i dagsläget i storleksordningen 1û5 Gbyte per dag (1û5 miljarder byte per dag!). Att övervaka vad som sägs är alltså fullständigt omöjligt. Diskussionsgruppernas namn har inte heller någon hård anknytning till vad som sägs. Det kräver ingen ansträngning att skriva ett inlägg om knyppling i ett möte som handlar om rallybilsmotorer.Att reglera innehållet i news låter sig nog inte göras.
6.4 World Wide Web (www)
World Wide Web är en relativt ny företeelse. Den har bara funnits sedan 1993, men har utvecklats på ett närmast explosionsartat sätt till att i dag stå för cirka 70% av trafiken på Internet. Protokollet som används för webbtrafik heter egentligen Hypertext Transfer Protocol (HTTP), och det möjliggör överföring av kompositinformation i form av text, bild och ljud blandat (= multimedia), och med länkar som pekar på annan information. Informationen kodas i ett språk som kallas Hypertext Markup Language (HTML). Systemet uppfanns på fysikforskningslaboratoriet CERN i Genève, där man ville lösa vissa problem med att tillgängliggöra intern information via datorer. När National Center for Supercomputing Applications (NCSA) i USA presenterade sin lättanvända webbläsare Mosaic blev det plötsligt lätt för vanliga människor att tillgodogöra sig information via Internet, och företaget Netscape var inte sena att kopiera konceptet och göra en kommersiell produkt som banade väg i en sällan skådad fart för det som har blivit www i dag.
Webbservrar tillhandahåller hypertextsidor på förfrågan. Genom att ge en webbadress till sin webbläsare kan den, med hjälp av DNS, leta upp den dator som tillhandahåller den informationen, och be om att få den utlämnad.
Webbadresser, eller Universal Resource Locators (URLs), är tyvärr mycket rudimentära och refererar inte till ett visst dokument, utan till den plats där dokumentet lagras. Om dokumentet flyttas ändras URL:en för det. Hela systemet är väldigt inflexibelt, men ett nyare system, Universal Resource Names (URNs), tar hand om den problematiken på ett genomtänkt sätt, och kommer sannolikt snart att börja användas i stället för URL:er.
Webbservrarna är inte hopkopplade på samma sätt som newsservrarna. Varje server är sig själv nog, och den har möjligen pekare till andra i sina databasfiler, men i webbfallet är det alltid klienten (webbläsaren) som kontaktar de olika servrarna. Detta sker helt osynligt för användaren, och man vet egentligen inte om en webbsida har en textdel från en server, en bild från en annan, och en ljudsnutt från en tredje. Det finns inkodat i HTML-koden, men det är bara den färdiga helhetsbilden som presenteras för användaren.
En annan viktig detalj för alla datorer är att ha en samfälld uppfattning om hur mycket klockan är. Tidsinformation förmedlas över Internet med hjälp av Network Time Protocol (NTP), ett mycket sinnrikt protokoll som med avancerade matematiska algoritmer tar hänsyn till fördröjningar i nätet, överföringshastigheter, datorers varierande gånghastighet och mycket annat. Resultatet är att man via NTP kan få datorns klocka att visa mycket exakt tid. NTP har dessutom inbyggda funktioner för säkerhet, så att man vet att man får rätt tid från rätt dator.
NTP-servrar kopplas till varandra i ett hierarkiskt system. På några punkter måste man dock ha någon form av tidskälla som kan anses vara den sanna tiden. Sådana tidskällor är oftast atomur eller andra apparater med motsvarande noggrannhet. I Sverige finns i dag bara ett atomur kopplat till Internet, och det drivs i privat regi.
Datorer använder klockan kontinuerligt för att tidsstämpla allehanda information, från skrivdatum i filer till kryptonycklar och poster i loggfiler. Vetskap om att man har färsk information är en hörnsten i alla system för säkert informationsutbyte, och om man behöver spåra intrång i datorsystem och liknande är korrekta tidsstämplar i loggfiler mycket underlättande. Även vid normalt utbyte av filer mellan datorer spelar tiden en stor roll. Om en fil skrivs i stort sett samtidigt från flera håll, så gäller det att veta vem som skrev i filen senast.